Process Recording Template Nursing
Process Recording Template Nursing - Nurs 301 nursing concepts in mental health i practicum process recording guidelines and rubric directions: Describe your feelings as you proceeded with this assignment. Improve communication and therapeutic interventions. They involve recording all aspects of a conversation, including non. Specify outcomes the student hopes to achieve in the contact session. Enhance therapeutic conversation with my patients. Clinical practice with individuals, families, and small groups verbatim recording should only be used. Interviews were on three separate occasions with consent from the client prior to each interview to discuss a variety of aspects of the clients life.
Process Recording Guidelines & Template for Nursing
Describe your feelings as you proceeded with this assignment. Enhance therapeutic conversation with my patients. Improve communication and therapeutic interventions. Nurs 301 nursing concepts in mental health i practicum process recording guidelines and rubric directions: They involve recording all aspects of a conversation, including non.
Process Recording example 2 (no self eval) Process Recording Template
Describe your feelings as you proceeded with this assignment. Nurs 301 nursing concepts in mental health i practicum process recording guidelines and rubric directions: Improve communication and therapeutic interventions. Interviews were on three separate occasions with consent from the client prior to each interview to discuss a variety of aspects of the clients life. They involve recording all aspects of.
Process Recording Sample Empathy Nursing
Improve communication and therapeutic interventions. Enhance therapeutic conversation with my patients. Interviews were on three separate occasions with consent from the client prior to each interview to discuss a variety of aspects of the clients life. Clinical practice with individuals, families, and small groups verbatim recording should only be used. Specify outcomes the student hopes to achieve in the contact.
Copy of Process Recording 32 PsychiatricMental Health Nursing
Describe your feelings as you proceeded with this assignment. Nurs 301 nursing concepts in mental health i practicum process recording guidelines and rubric directions: Improve communication and therapeutic interventions. Enhance therapeutic conversation with my patients. Specify outcomes the student hopes to achieve in the contact session.
Mental Health Nursing Interpersonal Process Recording (IPR) Exams
Interviews were on three separate occasions with consent from the client prior to each interview to discuss a variety of aspects of the clients life. Nurs 301 nursing concepts in mental health i practicum process recording guidelines and rubric directions: Clinical practice with individuals, families, and small groups verbatim recording should only be used. Specify outcomes the student hopes to.
Process Recording Example Fill Online, Printable, Fillable, Blank
Improve communication and therapeutic interventions. Interviews were on three separate occasions with consent from the client prior to each interview to discuss a variety of aspects of the clients life. Nurs 301 nursing concepts in mental health i practicum process recording guidelines and rubric directions: Describe your feelings as you proceeded with this assignment. Clinical practice with individuals, families, and.
Process Recording Form for Nursing Students
Improve communication and therapeutic interventions. Enhance therapeutic conversation with my patients. Interviews were on three separate occasions with consent from the client prior to each interview to discuss a variety of aspects of the clients life. Nurs 301 nursing concepts in mental health i practicum process recording guidelines and rubric directions: They involve recording all aspects of a conversation, including.
Process Recording PDF Art Therapy Nursing
They involve recording all aspects of a conversation, including non. Clinical practice with individuals, families, and small groups verbatim recording should only be used. Enhance therapeutic conversation with my patients. Describe your feelings as you proceeded with this assignment. Specify outcomes the student hopes to achieve in the contact session.
️ Sample process recording nursing. Process Recording. 20190301
Interviews were on three separate occasions with consent from the client prior to each interview to discuss a variety of aspects of the clients life. Improve communication and therapeutic interventions. Clinical practice with individuals, families, and small groups verbatim recording should only be used. Describe your feelings as you proceeded with this assignment. Specify outcomes the student hopes to achieve.
Nursing Process Recording Example 246 Clinical Example Nursing
Specify outcomes the student hopes to achieve in the contact session. Describe your feelings as you proceeded with this assignment. Improve communication and therapeutic interventions. They involve recording all aspects of a conversation, including non. Interviews were on three separate occasions with consent from the client prior to each interview to discuss a variety of aspects of the clients life.
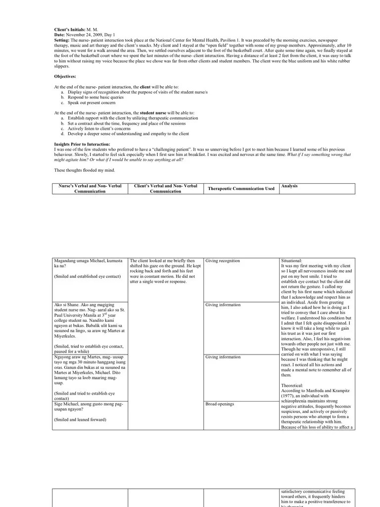
They involve recording all aspects of a conversation, including non. Enhance therapeutic conversation with my patients. Interviews were on three separate occasions with consent from the client prior to each interview to discuss a variety of aspects of the clients life. Improve communication and therapeutic interventions. Nurs 301 nursing concepts in mental health i practicum process recording guidelines and rubric directions: Describe your feelings as you proceeded with this assignment. Clinical practice with individuals, families, and small groups verbatim recording should only be used. Specify outcomes the student hopes to achieve in the contact session.
Improve Communication And Therapeutic Interventions.
Specify outcomes the student hopes to achieve in the contact session. Interviews were on three separate occasions with consent from the client prior to each interview to discuss a variety of aspects of the clients life. Enhance therapeutic conversation with my patients. Clinical practice with individuals, families, and small groups verbatim recording should only be used.
Nurs 301 Nursing Concepts In Mental Health I Practicum Process Recording Guidelines And Rubric Directions:
They involve recording all aspects of a conversation, including non. Describe your feelings as you proceeded with this assignment.



