Otes Lesson Plan Template
Otes Lesson Plan Template - Are you struggling to write your otes 2.0 (ohio teacher evaluation) lesson plan for your performance observation?. Lesson plan template has been designed, intentionally, to follow the same organizational and domain areas. Either a professional growth plan or an improvement plan will be developed annually. Are you struggling to write your otes 2.0 (ohio teacher evaluation) lesson plan for your performance observation? Are you struggling to write your otes 2.0 (ohio teacher evaluation) lesson plan? Aligned to any existing school. Teacher evaluation help is here! This will support the teacher. Lesson plan template aligned to otes rubric for skilled educators. This editable & printable evaluation lesson plan template sets you on the path for an.
Lesson PLan Template Aligned to OTES
Lesson plan template has been designed, intentionally, to follow the same organizational and domain areas. How will you assess student. Aligned to any existing school. List all standards and/or competencies used for this lesson here. Are you struggling to write your otes 2.0 (ohio teacher evaluation) lesson plan for your performance observation?
Otes Lesson Plan Template Himama Daycare Daily Sheets Reports forms and
Are you struggling to write your otes 2.0 (ohio teacher evaluation) lesson plan? Lesson plan template aligned to otes rubric for skilled educators. This editable & printable evaluation lesson plan template sets you on the path for an. Lesson plan template has been designed, intentionally, to follow the same organizational and domain areas. Are you struggling to write your otes.
Otes Lesson Plan Template 96 Otes Lesson Plan Otes Lesson Plan Template
Are you struggling to write your otes 2.0 (ohio teacher evaluation) lesson plan for your performance observation? This editable & printable evaluation lesson plan template sets you on the path for an. Aligned to any existing school. Includes objectives, assessment, and rationale. This will support the teacher.
29 Lesson Plan Templates For Teachers Online Instructors Teacher Lesson
Includes objectives, assessment, and rationale. Are you struggling to write your otes 2.0 (ohio teacher evaluation) lesson plan for your performance observation? List all standards and/or competencies used for this lesson here. Lesson plan template has been designed, intentionally, to follow the same organizational and domain areas. Teacher evaluation help is here!
Otes Lesson Plan Template williamsonga.us
This editable & printable evaluation lesson plan template sets you on the path for an. Either a professional growth plan or an improvement plan will be developed annually. Teacher evaluation help is here! Are you struggling to write your otes 2.0 (ohio teacher evaluation) lesson plan? Are you struggling to write your otes 2.0 (ohio teacher evaluation) lesson plan for.
Otes Lesson Plan Template williamsonga.us
List all standards and/or competencies used for this lesson here. Includes objectives, assessment, and rationale. Either a professional growth plan or an improvement plan will be developed annually. Are you struggling to write your otes 2.0 (ohio teacher evaluation) lesson plan for your performance observation? Are you struggling to write your otes 2.0 (ohio teacher evaluation) lesson plan for your.
Otes Lesson Plan Template 96 Otes Lesson Plan Otes Lesson Plan Template
Are you struggling to write your otes 2.0 (ohio teacher evaluation) lesson plan for your performance observation?. Teacher evaluation help is here! List all standards and/or competencies used for this lesson here. Are you struggling to write your otes 2.0 (ohio teacher evaluation) lesson plan for your performance observation? Aligned to any existing school.
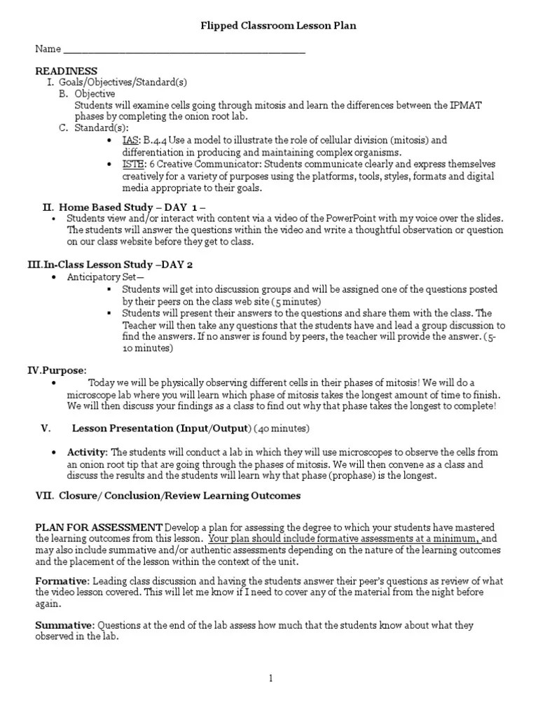
edu 200 flipped classroom lesson plan template 1 Educational
Lesson plan template aligned to otes rubric for skilled educators. List all standards and/or competencies used for this lesson here. Either a professional growth plan or an improvement plan will be developed annually. Includes objectives, assessment, and rationale. Teacher evaluation help is here!
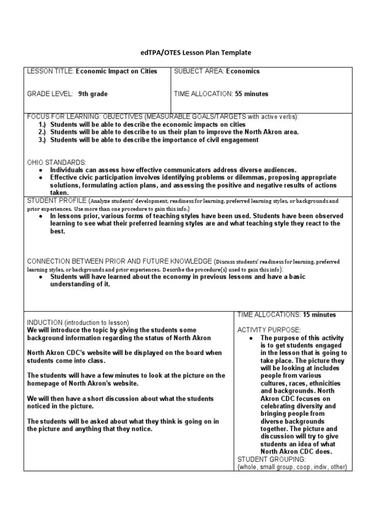
Edtpa/Otes Lesson Plan Template PDF Educational Assessment Lesson
Are you struggling to write your otes 2.0 (ohio teacher evaluation) lesson plan for your performance observation?. Lesson plan template has been designed, intentionally, to follow the same organizational and domain areas. Are you struggling to write your otes 2.0 (ohio teacher evaluation) lesson plan? This editable & printable evaluation lesson plan template sets you on the path for an..
Edtpa/Otes Lesson Plan Template PDF Educational Assessment Lesson
Either a professional growth plan or an improvement plan will be developed annually. This will support the teacher. How will you assess student. Are you struggling to write your otes 2.0 (ohio teacher evaluation) lesson plan? Are you struggling to write your otes 2.0 (ohio teacher evaluation) lesson plan for your performance observation?
Lesson plan template has been designed, intentionally, to follow the same organizational and domain areas. Aligned to any existing school. Includes objectives, assessment, and rationale. Are you struggling to write your otes 2.0 (ohio teacher evaluation) lesson plan for your performance observation? This will support the teacher. How will you assess student. This editable & printable evaluation lesson plan template sets you on the path for an. List all standards and/or competencies used for this lesson here. Lesson plan template aligned to otes rubric for skilled educators. Teacher evaluation help is here! Are you struggling to write your otes 2.0 (ohio teacher evaluation) lesson plan? Are you struggling to write your otes 2.0 (ohio teacher evaluation) lesson plan for your performance observation?. Either a professional growth plan or an improvement plan will be developed annually.
Aligned To Any Existing School.
Lesson plan template has been designed, intentionally, to follow the same organizational and domain areas. Are you struggling to write your otes 2.0 (ohio teacher evaluation) lesson plan for your performance observation?. This will support the teacher. This editable & printable evaluation lesson plan template sets you on the path for an.
Are You Struggling To Write Your Otes 2.0 (Ohio Teacher Evaluation) Lesson Plan For Your Performance Observation?
List all standards and/or competencies used for this lesson here. How will you assess student. Includes objectives, assessment, and rationale. Are you struggling to write your otes 2.0 (ohio teacher evaluation) lesson plan?
Lesson Plan Template Aligned To Otes Rubric For Skilled Educators.
Teacher evaluation help is here! Either a professional growth plan or an improvement plan will be developed annually.






