Ece Lesson Plan Template
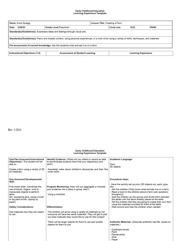
Ece Lesson Plan Template - A lesson plan template for early childhood activities is a valuable tool for educators to effectively plan and organize their lessons. It covers essential details such as topic, objectives, assessments, and differentiation strategies. Use these preschool lesson planning templates to save time creating your early childhood education lesson plans! Free printable and editable lesson plan template for teachers to prepare their lessons on a daily, weekly or yearly basis. It includes sections for objectives,.
ece lesson plan template 4 PDF Knowledge Early Childhood Education
Use these preschool lesson planning templates to save time creating your early childhood education lesson plans! A lesson plan template for early childhood activities is a valuable tool for educators to effectively plan and organize their lessons. It includes sections for objectives,. It covers essential details such as topic, objectives, assessments, and differentiation strategies. Free printable and editable lesson plan.
Ece Lesson Plan Template Visual Arts Download Free PDF Early
A lesson plan template for early childhood activities is a valuable tool for educators to effectively plan and organize their lessons. It includes sections for objectives,. Use these preschool lesson planning templates to save time creating your early childhood education lesson plans! Free printable and editable lesson plan template for teachers to prepare their lessons on a daily, weekly or.
ece lesson plan template 6 PDF Learning Knowledge
Free printable and editable lesson plan template for teachers to prepare their lessons on a daily, weekly or yearly basis. A lesson plan template for early childhood activities is a valuable tool for educators to effectively plan and organize their lessons. Use these preschool lesson planning templates to save time creating your early childhood education lesson plans! It covers essential.
Early Childhood Education Lesson Plan Template
It includes sections for objectives,. Use these preschool lesson planning templates to save time creating your early childhood education lesson plans! A lesson plan template for early childhood activities is a valuable tool for educators to effectively plan and organize their lessons. Free printable and editable lesson plan template for teachers to prepare their lessons on a daily, weekly or.
Ece Lesson Plan Template5 Download Free PDF Learning Early
A lesson plan template for early childhood activities is a valuable tool for educators to effectively plan and organize their lessons. Use these preschool lesson planning templates to save time creating your early childhood education lesson plans! It covers essential details such as topic, objectives, assessments, and differentiation strategies. It includes sections for objectives,. Free printable and editable lesson plan.
Lesson Plan For Early Childhood Education
It includes sections for objectives,. It covers essential details such as topic, objectives, assessments, and differentiation strategies. A lesson plan template for early childhood activities is a valuable tool for educators to effectively plan and organize their lessons. Free printable and editable lesson plan template for teachers to prepare their lessons on a daily, weekly or yearly basis. Use these.
Early Childhood Lesson Plan Template Beautiful Free Lesson Plan
A lesson plan template for early childhood activities is a valuable tool for educators to effectively plan and organize their lessons. Use these preschool lesson planning templates to save time creating your early childhood education lesson plans! It includes sections for objectives,. Free printable and editable lesson plan template for teachers to prepare their lessons on a daily, weekly or.
Ece Lesson Plan Template
A lesson plan template for early childhood activities is a valuable tool for educators to effectively plan and organize their lessons. It includes sections for objectives,. Use these preschool lesson planning templates to save time creating your early childhood education lesson plans! Free printable and editable lesson plan template for teachers to prepare their lessons on a daily, weekly or.
Early Childhood Education Lesson Plan Template Edutechspot
It covers essential details such as topic, objectives, assessments, and differentiation strategies. Use these preschool lesson planning templates to save time creating your early childhood education lesson plans! It includes sections for objectives,. Free printable and editable lesson plan template for teachers to prepare their lessons on a daily, weekly or yearly basis. A lesson plan template for early childhood.
Ece Lesson Plan Template 4 Download Free PDF Preschool Learning
Use these preschool lesson planning templates to save time creating your early childhood education lesson plans! It covers essential details such as topic, objectives, assessments, and differentiation strategies. It includes sections for objectives,. Free printable and editable lesson plan template for teachers to prepare their lessons on a daily, weekly or yearly basis. A lesson plan template for early childhood.
It includes sections for objectives,. Free printable and editable lesson plan template for teachers to prepare their lessons on a daily, weekly or yearly basis. It covers essential details such as topic, objectives, assessments, and differentiation strategies. A lesson plan template for early childhood activities is a valuable tool for educators to effectively plan and organize their lessons. Use these preschool lesson planning templates to save time creating your early childhood education lesson plans!
Use These Preschool Lesson Planning Templates To Save Time Creating Your Early Childhood Education Lesson Plans!
It covers essential details such as topic, objectives, assessments, and differentiation strategies. A lesson plan template for early childhood activities is a valuable tool for educators to effectively plan and organize their lessons. It includes sections for objectives,. Free printable and editable lesson plan template for teachers to prepare their lessons on a daily, weekly or yearly basis.




