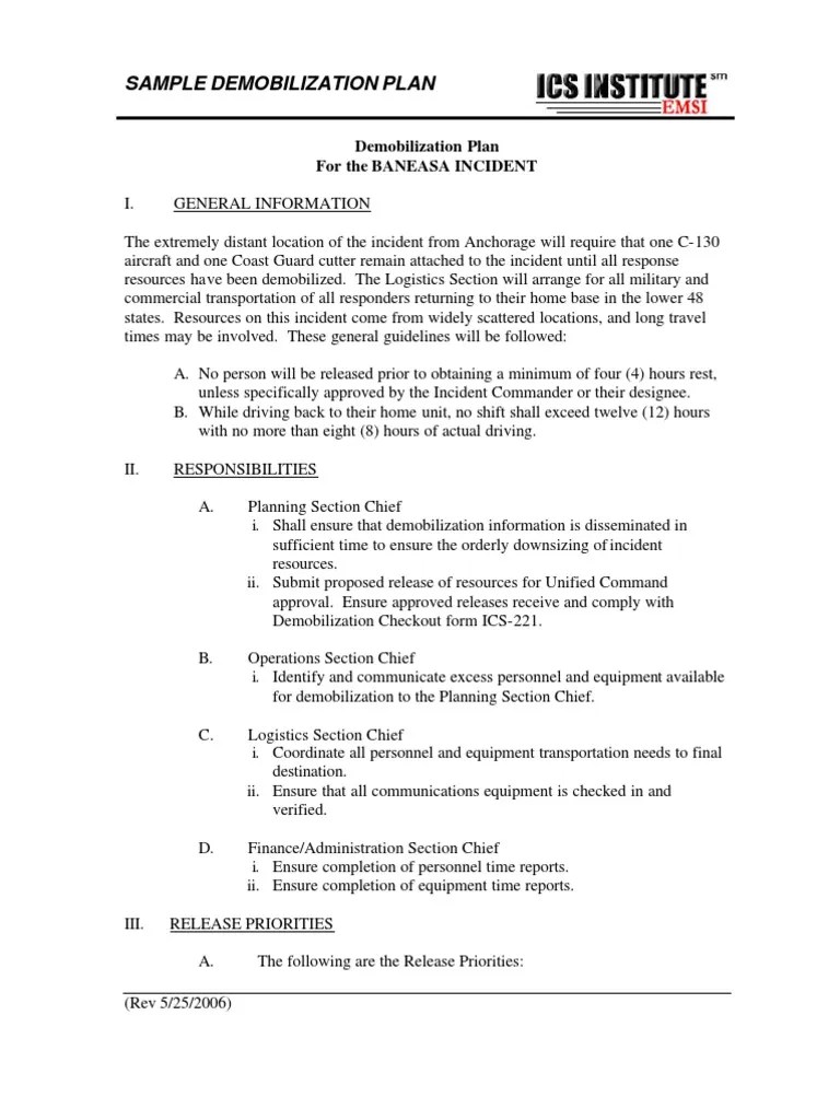
Demobilization Plan Template
Demobilization Plan Template - Personnel and equipment will be demobilized from the incident in accordance with this plan. Welcome to our comprehensive guide on creating an effective site demobilization plan! It provides instructions for staff to complete paperwork, submit timesheets. It is intended as a guideline. This document provides a template for creating an incident. Check out how easy it is to complete and esign documents online using fillable templates and a powerful editor. Have traveled a long distance and/or require commercial transportation. The document outlines the demobilization plan and process for staff responding to an emergency. Below is a template which may be used to create a demobilization plan. Demobilization plan for construction site pdf.
PPT Unit 7 PowerPoint Presentation, free download ID2233389
Below is a template which may be used to create a demobilization plan. This document provides a template for creating an incident. It is intended as a guideline. The document outlines the demobilization plan and process for staff responding to an emergency. Welcome to our comprehensive guide on creating an effective site demobilization plan!
PPT Demobilization Planning and Transfer of Command Key Elements and
Demobilization plan for construction site pdf. This document provides a template for creating an incident. Welcome to our comprehensive guide on creating an effective site demobilization plan! It is intended as a guideline. Check out how easy it is to complete and esign documents online using fillable templates and a powerful editor.
Bunnings Site Demolition Plan Demolition Deep Foundation Free 30
If youâ re involved in project management or construction, you know how crucial it is to. Personnel and equipment will be demobilized from the incident in accordance with this plan. A formal demobilization process and plan should be developed when personnel: Check out how easy it is to complete and esign documents online using fillable templates and a powerful editor..
Letter Template For Site Demobilization Plan Free Samples in PDF
Below is a template which may be used to create a demobilization plan. Demobilization plan for construction site pdf. Personnel and equipment will be demobilized from the incident in accordance with this plan. Have traveled a long distance and/or require commercial transportation. It is intended as a guideline.
PPT Incident Resource Management Principles and Practices PowerPoint
This document provides a template for creating an incident. It provides instructions for staff to complete paperwork, submit timesheets. Check out how easy it is to complete and esign documents online using fillable templates and a powerful editor. Personnel and equipment will be demobilized from the incident in accordance with this plan. Welcome to our comprehensive guide on creating an.
Demobilization Plan Template PDF Microsoft Excel Email
A formal demobilization process and plan should be developed when personnel: Personnel and equipment will be demobilized from the incident in accordance with this plan. Welcome to our comprehensive guide on creating an effective site demobilization plan! If youâ re involved in project management or construction, you know how crucial it is to. Demobilization plan for construction site pdf.
Site Mobilization and Demobilization Plan PDF Electrical Substation
Welcome to our comprehensive guide on creating an effective site demobilization plan! Demobilization plan for construction site pdf. Check out how easy it is to complete and esign documents online using fillable templates and a powerful editor. A formal demobilization process and plan should be developed when personnel: The document outlines the demobilization plan and process for staff responding to.
Sample Demobilization Plan Government Business
Have traveled a long distance and/or require commercial transportation. The document outlines the demobilization plan and process for staff responding to an emergency. If youâ re involved in project management or construction, you know how crucial it is to. Check out how easy it is to complete and esign documents online using fillable templates and a powerful editor. It provides.
Plan Demobilization Costs and Equipment PDF Procurement Cost
This document provides a template for creating an incident. A formal demobilization process and plan should be developed when personnel: The document outlines the demobilization plan and process for staff responding to an emergency. It provides instructions for staff to complete paperwork, submit timesheets. Personnel and equipment will be demobilized from the incident in accordance with this plan.
PPT Unit 5 PowerPoint Presentation, free download ID267536
This document provides a template for creating an incident. If youâ re involved in project management or construction, you know how crucial it is to. It provides instructions for staff to complete paperwork, submit timesheets. A formal demobilization process and plan should be developed when personnel: It is intended as a guideline.
If youâ re involved in project management or construction, you know how crucial it is to. This document provides a template for creating an incident. Personnel and equipment will be demobilized from the incident in accordance with this plan. A formal demobilization process and plan should be developed when personnel: The document outlines the demobilization plan and process for staff responding to an emergency. Welcome to our comprehensive guide on creating an effective site demobilization plan! It is intended as a guideline. Below is a template which may be used to create a demobilization plan. Demobilization plan for construction site pdf. Check out how easy it is to complete and esign documents online using fillable templates and a powerful editor. Have traveled a long distance and/or require commercial transportation. It provides instructions for staff to complete paperwork, submit timesheets.
Have Traveled A Long Distance And/Or Require Commercial Transportation.
Welcome to our comprehensive guide on creating an effective site demobilization plan! A formal demobilization process and plan should be developed when personnel: This document provides a template for creating an incident. It is intended as a guideline.
Demobilization Plan For Construction Site Pdf.
The document outlines the demobilization plan and process for staff responding to an emergency. It provides instructions for staff to complete paperwork, submit timesheets. Personnel and equipment will be demobilized from the incident in accordance with this plan. If youâ re involved in project management or construction, you know how crucial it is to.
Below Is A Template Which May Be Used To Create A Demobilization Plan.
Check out how easy it is to complete and esign documents online using fillable templates and a powerful editor.




