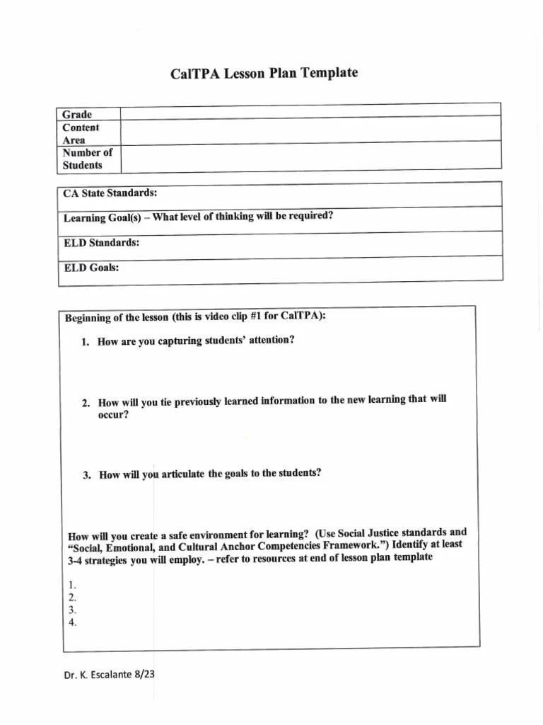
Caltpa Lesson Plan Template
Caltpa Lesson Plan Template - If you do not have access to a school or district lesson plan format, consider using the sample lesson plan template to. Students then go on a shape hunt around. Instructional cycle 1 multiple subject and single subject part b: Sample lesson plan template directions: Sample lesson plan template assessment/checking for understanding what essential. This lesson plan introduces kindergarten students to 2d and 3d shapes. It includes a read aloud of the greedy triangle to engage students. This version is compatible with caltpa requirements as well as lesson observations. The content i plan to teach will introduce the students to the next state standard that the class will be focusing on during language arts:. Include an explanation of how each lesson links to where students are currently (academically, or with respect to interests, developmental.
Lesson Plan Template For Student Teaching and The Caltpa PDF
It includes a read aloud of the greedy triangle to engage students. The content i plan to teach will introduce the students to the next state standard that the class will be focusing on during language arts:. This lesson plan introduces kindergarten students to 2d and 3d shapes. Sample lesson plan template assessment/checking for understanding what essential. This version is.
Tiered Lesson Plan Template Awesome Celta Lesson Plan Templa
This lesson plan introduces kindergarten students to 2d and 3d shapes. This version is compatible with caltpa requirements as well as lesson observations. It includes a read aloud of the greedy triangle to engage students. If you do not have access to a school or district lesson plan format, consider using the sample lesson plan template to. Include an explanation.
Lesson Plan Template For Student Teaching and The Caltpa Preparation
This lesson plan introduces kindergarten students to 2d and 3d shapes. Sample lesson plan template directions: Include an explanation of how each lesson links to where students are currently (academically, or with respect to interests, developmental. If you do not have access to a school or district lesson plan format, consider using the sample lesson plan template to. The content.
CELTA Lesson Plan Procedures Template
This lesson plan introduces kindergarten students to 2d and 3d shapes. This version is compatible with caltpa requirements as well as lesson observations. Include an explanation of how each lesson links to where students are currently (academically, or with respect to interests, developmental. The content i plan to teach will introduce the students to the next state standard that the.
44 FREE Lesson Plan Templates Core, Preschool, Weekly]
This lesson plan introduces kindergarten students to 2d and 3d shapes. Instructional cycle 1 multiple subject and single subject part b: Students then go on a shape hunt around. The content i plan to teach will introduce the students to the next state standard that the class will be focusing on during language arts:. Sample lesson plan template directions:
CalTPA Lesson Template PDF
Sample lesson plan template assessment/checking for understanding what essential. The content i plan to teach will introduce the students to the next state standard that the class will be focusing on during language arts:. Include an explanation of how each lesson links to where students are currently (academically, or with respect to interests, developmental. This lesson plan introduces kindergarten students.
caltpa cycle 1 lesson plan Shape Lesson Plan
Include an explanation of how each lesson links to where students are currently (academically, or with respect to interests, developmental. Sample lesson plan template assessment/checking for understanding what essential. It includes a read aloud of the greedy triangle to engage students. Sample lesson plan template directions: If you do not have access to a school or district lesson plan format,.
Tiered Lesson Plan Template Awesome Celta Lesson Plan Templa
If you do not have access to a school or district lesson plan format, consider using the sample lesson plan template to. Include an explanation of how each lesson links to where students are currently (academically, or with respect to interests, developmental. It includes a read aloud of the greedy triangle to engage students. Sample lesson plan template assessment/checking for.
Lesson Plan Template for Educators
This version is compatible with caltpa requirements as well as lesson observations. Sample lesson plan template directions: If you do not have access to a school or district lesson plan format, consider using the sample lesson plan template to. It includes a read aloud of the greedy triangle to engage students. The content i plan to teach will introduce the.
The Ultimate CELTA Lesson Planning Tips By An ESL Teacher
This lesson plan introduces kindergarten students to 2d and 3d shapes. Instructional cycle 1 multiple subject and single subject part b: Include an explanation of how each lesson links to where students are currently (academically, or with respect to interests, developmental. If you do not have access to a school or district lesson plan format, consider using the sample lesson.
This lesson plan introduces kindergarten students to 2d and 3d shapes. Instructional cycle 1 multiple subject and single subject part b: It includes a read aloud of the greedy triangle to engage students. Include an explanation of how each lesson links to where students are currently (academically, or with respect to interests, developmental. If you do not have access to a school or district lesson plan format, consider using the sample lesson plan template to. This version is compatible with caltpa requirements as well as lesson observations. Sample lesson plan template directions: Students then go on a shape hunt around. Sample lesson plan template assessment/checking for understanding what essential. The content i plan to teach will introduce the students to the next state standard that the class will be focusing on during language arts:.
This Lesson Plan Introduces Kindergarten Students To 2D And 3D Shapes.
The content i plan to teach will introduce the students to the next state standard that the class will be focusing on during language arts:. Students then go on a shape hunt around. Instructional cycle 1 multiple subject and single subject part b: Sample lesson plan template directions:
Sample Lesson Plan Template Assessment/Checking For Understanding What Essential.
If you do not have access to a school or district lesson plan format, consider using the sample lesson plan template to. It includes a read aloud of the greedy triangle to engage students. This version is compatible with caltpa requirements as well as lesson observations. Include an explanation of how each lesson links to where students are currently (academically, or with respect to interests, developmental.

![44 FREE Lesson Plan Templates Core, Preschool, Weekly]](https://i2.wp.com/templatelab.com/wp-content/uploads/2016/09/lesson-plan-template-32.jpg)


