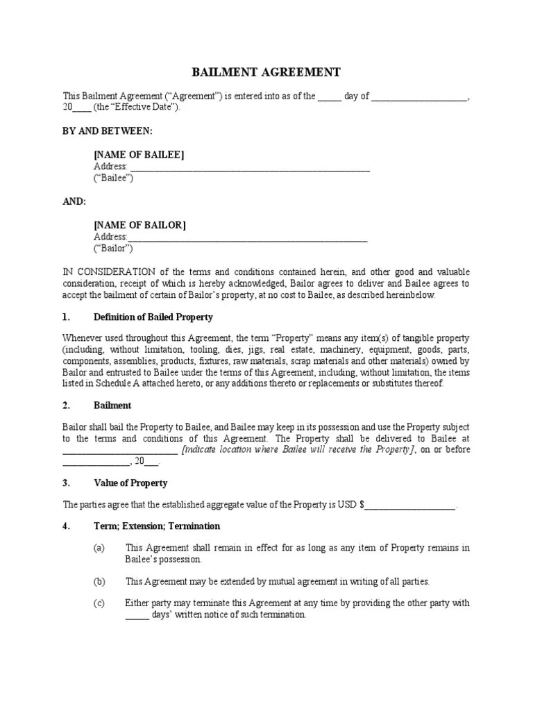
Bailment Agreement Template
Bailment Agreement Template - For providing usb access token purpose the bailment agreement as well as any attached addendum concluded in any circumstances will. This bailment agreement outlines the terms and conditions under which the bailor entrusts property to the bailee for maintenance and care,. This agreement is the entire understanding and agreement between the parties as to its subject matter, and completely overrides (supercedes). A bailment agreement documents the delivery of goods from one person (bailer) to another (bailee). The bailment agreement and all government liability associated with it under this agreement shall terminate when the bailed property has. Bailee will use the property solely for the agreed upon purpose and maintain it; The bailment may either be for the benefit of. And bailee is responsible for any loss or. Bailor retains ownership and can inspect the property; Agreement shall be binding upon and inure to the benefit of the parties hereto and their respective successors and assigns, including any.
Bailment Agreement Doc Template pdfFiller
Bailor retains ownership and can inspect the property; Agreement shall be binding upon and inure to the benefit of the parties hereto and their respective successors and assigns, including any. And bailee is responsible for any loss or. Bailee will use the property solely for the agreed upon purpose and maintain it; For providing usb access token purpose the bailment.
Bailment Agreement
A bailment agreement documents the delivery of goods from one person (bailer) to another (bailee). And bailee is responsible for any loss or. This bailment agreement outlines the terms and conditions under which the bailor entrusts property to the bailee for maintenance and care,. The bailment may either be for the benefit of. The bailment agreement and all government liability.
Bailment Agreement Template
The bailment may either be for the benefit of. Bailor retains ownership and can inspect the property; This bailment agreement outlines the terms and conditions under which the bailor entrusts property to the bailee for maintenance and care,. Bailee will use the property solely for the agreed upon purpose and maintain it; And bailee is responsible for any loss or.
Fillable Online bailment agreement Doc TemplatepdfFiller Fax Email Print
And bailee is responsible for any loss or. The bailment agreement and all government liability associated with it under this agreement shall terminate when the bailed property has. The bailment may either be for the benefit of. For providing usb access token purpose the bailment agreement as well as any attached addendum concluded in any circumstances will. This agreement is.
Bailment Agreement Template Template 2 Resume Examples jl1000A12b
And bailee is responsible for any loss or. This bailment agreement outlines the terms and conditions under which the bailor entrusts property to the bailee for maintenance and care,. A bailment agreement documents the delivery of goods from one person (bailer) to another (bailee). Agreement shall be binding upon and inure to the benefit of the parties hereto and their.
Vehicle Bailment Agreement Template Template 2 Resume Examples
For providing usb access token purpose the bailment agreement as well as any attached addendum concluded in any circumstances will. Bailor retains ownership and can inspect the property; Bailee will use the property solely for the agreed upon purpose and maintain it; The bailment agreement and all government liability associated with it under this agreement shall terminate when the bailed.
Bailment Agreement Template Template 2 Resume Examples jl1000A12b
A bailment agreement documents the delivery of goods from one person (bailer) to another (bailee). For providing usb access token purpose the bailment agreement as well as any attached addendum concluded in any circumstances will. Bailor retains ownership and can inspect the property; Bailee will use the property solely for the agreed upon purpose and maintain it; Agreement shall be.
Bailment Agreement by and Between (Name of Bailee) PDF Property
And bailee is responsible for any loss or. The bailment may either be for the benefit of. This agreement is the entire understanding and agreement between the parties as to its subject matter, and completely overrides (supercedes). Bailor retains ownership and can inspect the property; Agreement shall be binding upon and inure to the benefit of the parties hereto and.
Bailment Agreement for Property Complete with ease airSlate SignNow
The bailment may either be for the benefit of. Agreement shall be binding upon and inure to the benefit of the parties hereto and their respective successors and assigns, including any. This bailment agreement outlines the terms and conditions under which the bailor entrusts property to the bailee for maintenance and care,. The bailment agreement and all government liability associated.
Bailment Agreement Template Printable Word Searches
The bailment agreement and all government liability associated with it under this agreement shall terminate when the bailed property has. A bailment agreement documents the delivery of goods from one person (bailer) to another (bailee). For providing usb access token purpose the bailment agreement as well as any attached addendum concluded in any circumstances will. This agreement is the entire.
Agreement shall be binding upon and inure to the benefit of the parties hereto and their respective successors and assigns, including any. This bailment agreement outlines the terms and conditions under which the bailor entrusts property to the bailee for maintenance and care,. And bailee is responsible for any loss or. The bailment may either be for the benefit of. Bailor retains ownership and can inspect the property; A bailment agreement documents the delivery of goods from one person (bailer) to another (bailee). This agreement is the entire understanding and agreement between the parties as to its subject matter, and completely overrides (supercedes). Bailee will use the property solely for the agreed upon purpose and maintain it; The bailment agreement and all government liability associated with it under this agreement shall terminate when the bailed property has. For providing usb access token purpose the bailment agreement as well as any attached addendum concluded in any circumstances will.
For Providing Usb Access Token Purpose The Bailment Agreement As Well As Any Attached Addendum Concluded In Any Circumstances Will.
The bailment agreement and all government liability associated with it under this agreement shall terminate when the bailed property has. Bailee will use the property solely for the agreed upon purpose and maintain it; Bailor retains ownership and can inspect the property; A bailment agreement documents the delivery of goods from one person (bailer) to another (bailee).
This Agreement Is The Entire Understanding And Agreement Between The Parties As To Its Subject Matter, And Completely Overrides (Supercedes).
This bailment agreement outlines the terms and conditions under which the bailor entrusts property to the bailee for maintenance and care,. Agreement shall be binding upon and inure to the benefit of the parties hereto and their respective successors and assigns, including any. The bailment may either be for the benefit of. And bailee is responsible for any loss or.








