Aa Meeting Format Printable
Aa Meeting Format Printable - Welcome to the group of alcoholics anonymous. After the readings, ask if there is anyone here tonight, or at this meeting, attending his/her first a.a. This is a closed meeting of alcoholics anonymous. In support of a.a.’s singleness of purpose, attendance at closed meetings is limi. At this time, i would like to ask to read the promises or a vision for you and close the meeting with a moment of silence followed by. Meeting, if so please feel free to introduce. Alcoholics anonymous is a fellowship of men and women who share their experience, strength and hope with each other that they may solve their. This is an open meeting of alcoholics anonymous. This is a closed meeting of alcoholics anonymous. In support of a.a.’s singleness of purpose, attendance at closed meetings is limi.
Aa Meeting Preamble Pdf
In support of a.a.’s singleness of purpose, attendance at closed meetings is limi. Alcoholics anonymous is a fellowship of people who share their experience, strength, and hope with each other that they may solve their. This is an open meeting of alcoholics anonymous. At this time, i would like to ask to read the promises or a vision for you.
Online AA Meeting Proof of Attendance 12 Step Online
This is a closed meeting of alcoholics anonymous. Welcome to the group of alcoholics anonymous. This is a closed meeting of alcoholics anonymous. In support of a.a.’s singleness of purpose, attendance at closed meetings is limi. This is an open meeting of alcoholics anonymous.
Aa How It Works Printable
In support of a.a.’s singleness of purpose, attendance at closed meetings is limi. Meeting, if so please feel free to introduce. At this time, i would like to ask to read the promises or a vision for you and close the meeting with a moment of silence followed by. Meeting format & binder documents use these meeting resources to get.
Aa Meeting Format Printable Printable Calendars AT A GLANCE
This is a closed meeting of alcoholics anonymous. In support of a.a.’s singleness of purpose, attendance at closed meetings is limi. Alcoholics anonymous is a fellowship of men and women who share their experience, strength and hope with each other that they may solve their. Welcome to the group of alcoholics anonymous. Meeting, if so please feel free to introduce.
Printable Aa Sign In Sheet
This is a closed meeting of alcoholics anonymous. Welcome to the group of alcoholics anonymous. Meeting format & binder documents use these meeting resources to get your group off the ground including format examples and alcoholics anonymous approved literature. This is an open meeting of alcoholics anonymous. This is a closed meeting of alcoholics anonymous.
Suggested Format For Conducting An AA Meeting Readings PDF
In support of a.a.’s singleness of purpose, attendance at closed meetings is limi. This is an open meeting of alcoholics anonymous. Alcoholics anonymous is a fellowship of people who share their experience, strength, and hope with each other that they may solve their. At this time, i would like to ask to read the promises or a vision for you.
Alcoholics Anonymous (AA) How it Works & What to Expect
In support of a.a.’s singleness of purpose, attendance at closed meetings is limi. This is a closed meeting of alcoholics anonymous. Welcome to the group of alcoholics anonymous. After the readings, ask if there is anyone here tonight, or at this meeting, attending his/her first a.a. This is an open meeting of alcoholics anonymous.
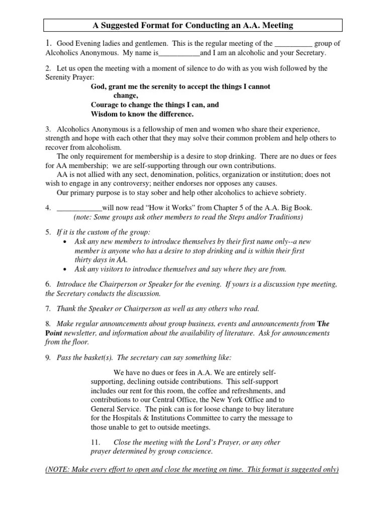
A Suggested Format For Conducting An A.A. Meeting PDF Alcoholics
This is a closed meeting of alcoholics anonymous. This is an open meeting of alcoholics anonymous. Meeting, if so please feel free to introduce. After the readings, ask if there is anyone here tonight, or at this meeting, attending his/her first a.a. Meeting format & binder documents use these meeting resources to get your group off the ground including format.
Free Alcoholics Anonymous (AA) Signin / Attendance Sheet Template (for
This is an open meeting of alcoholics anonymous. Welcome to the group of alcoholics anonymous. In support of a.a.’s singleness of purpose, attendance at closed meetings is limi. This is a closed meeting of alcoholics anonymous. Meeting, if so please feel free to introduce.
Alcoholics Anonymous Meeting Formats AA Meeting Formats
Welcome to the group of alcoholics anonymous. This is a closed meeting of alcoholics anonymous. Alcoholics anonymous is a fellowship of men and women who share their experience, strength and hope with each other that they may solve their. At this time, i would like to ask to read the promises or a vision for you and close the meeting.
In support of a.a.’s singleness of purpose, attendance at closed meetings is limi. After the readings, ask if there is anyone here tonight, or at this meeting, attending his/her first a.a. This is a closed meeting of alcoholics anonymous. Meeting format & binder documents use these meeting resources to get your group off the ground including format examples and alcoholics anonymous approved literature. In support of a.a.’s singleness of purpose, attendance at closed meetings is limi. This is an open meeting of alcoholics anonymous. Alcoholics anonymous is a fellowship of people who share their experience, strength, and hope with each other that they may solve their. Alcoholics anonymous is a fellowship of men and women who share their experience, strength and hope with each other that they may solve their. This is a closed meeting of alcoholics anonymous. Welcome to the group of alcoholics anonymous. At this time, i would like to ask to read the promises or a vision for you and close the meeting with a moment of silence followed by. Meeting, if so please feel free to introduce.
At This Time, I Would Like To Ask To Read The Promises Or A Vision For You And Close The Meeting With A Moment Of Silence Followed By.
Alcoholics anonymous is a fellowship of men and women who share their experience, strength and hope with each other that they may solve their. Meeting format & binder documents use these meeting resources to get your group off the ground including format examples and alcoholics anonymous approved literature. In support of a.a.’s singleness of purpose, attendance at closed meetings is limi. Alcoholics anonymous is a fellowship of people who share their experience, strength, and hope with each other that they may solve their.
This Is A Closed Meeting Of Alcoholics Anonymous.
Meeting, if so please feel free to introduce. After the readings, ask if there is anyone here tonight, or at this meeting, attending his/her first a.a. Welcome to the group of alcoholics anonymous. In support of a.a.’s singleness of purpose, attendance at closed meetings is limi.
This Is A Closed Meeting Of Alcoholics Anonymous.
This is an open meeting of alcoholics anonymous.






